Patent Memo
技術の「すごい」を特許公報・意匠公報から読み解く解説メモ

【素材・化学】熱に弱い電子部品を救う!四国化成工業の「低温硬化接着剤」

素材・化学 半導体・IT 作成日: 2026.02.26
[広告スペース]

今回ご紹介するのは、令和7年度 全国発明表彰において「日本弁理士会会長賞」を受賞した、四国化成工業株式会社による「耐熱性・耐湿性を発現する低温硬化接着剤の発明(特許第5923472号)」です。

スマートフォンや自動車に搭載される精密な電子デバイスの組み立てには、強力な「エポキシ樹脂接着剤」が欠かせません。しかし、強い接着剤を固めるためには「高温での加熱」が必要となり、熱に弱い部品にダメージを与えてしまうという大きなジレンマがありました。

この特許は、全く新しい分子構造を持つ硬化剤を開発することで「低温で固まるのに、固まった後は熱や湿気に極めて強い」という、相反する夢の性能を実現した画期的な化学素材の発明です。

【課題】強い接着には「高温」が必要だが、電子部品は熱に耐えられない

電子部品(カメラモジュールやセンサーなど)の組み立て工程では、接着剤を塗った後にオーブン等で加熱してカチカチに固める(硬化させる)必要があります。

従来、過酷な環境でも耐えられる高い信頼性(耐熱性や耐湿性)を持つエポキシ接着剤を固めるためには、150℃以上の高温で加熱しなければなりませんでした。しかし、近年の小型で精密な電子部品は熱に非常に弱く、150℃以上の環境に置かれると、プラスチックレンズが変形したり機能的な不具合が発生したりするという深刻な問題がありました。

かといって、低い温度で固まる接着剤を使用すると、今度は固まった後の耐熱性や耐湿性が弱く、夏の車内などの過酷な環境で剥がれてしまうという欠点がありました。

【解決策】新規化合物「メルカプトアルキルグリコールウリル類」の創出

この「低温硬化」と「硬化後の高い耐久性」というトレードオフの課題を、化学の力で根本から解決したのが四国化成工業の技術です。

同社は、エポキシ樹脂を固めるための「硬化剤」として、全く新しい構造を持つ化合物「新規なメルカプトアルキルグリコールウリル類」を合成し、特許を取得しました。

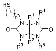
新規なメルカプトアルキルグリコールウリル類の構造説明図
図1:本発明の要となる新規化合物の構造説明図。この独自の分子構造が、低温での素早い反応を可能にしました。(出典:特許第5923472号)

1. 100℃未満の「低温」で素早く硬化

この新しい硬化剤を混ぜたエポキシ樹脂組成物は反応性が非常に高く、熱に弱い電子部品にダメージを与えない「100℃未満」という低温条件でも、しっかりと硬化・成形することができます。これにより、デリケートな最先端デバイスへの搭載が可能になりました。

2. 硬化後は強固なネットワークで「耐熱・耐湿」を発揮

さらに驚くべきは、低温で固まったにもかかわらず、その硬化物が極めて緻密で強固な分子ネットワークを形成する点です。これにより、高温下でも分解しない「耐熱性」と、高湿度下でも劣化しない「耐湿性」という、相反するはずの特性を見事に両立させています。

💡 技術のポイント:省エネ製造への貢献

この技術の恩恵は部品の保護だけではありません。接着剤を150℃以上に加熱するための膨大なエネルギーが不要(100℃未満で済む)になるため、工場のCO2排出量削減と製造コストの大幅なダウンに直結します。性能向上と環境負荷の低減を同時に達成している点が高く評価されています。

【効果】私たちの身の回りのスマート機器を裏で支える

私たちの身の回りにある便利なスマートフォンや、自動運転に向けた自動車の高度なセンサー群は、こうした目に見えない「化学素材のブレイクスルー」によって成り立っています。

「熱に弱いなら、熱をかけずに接着すればいい」。それを化学の力で実現してしまった、日本の素材産業の力強さを物語る見事な発明です。

特許情報まとめ

発明の名称 メルカプトアルキルグリコールウリル類とその利用
特許番号 特許第5923472号
特許権者 四国化成工業株式会社
発明者 熊野 岳、武田 琢磨、溝部 昇
出願日 平成25年9月18日 (2013.09.18)
登録日 平成28年4月22日 (2016.04.22)
関連リンク Google Patentsで全文を読む
J-PlatPatで公報・経過情報を確認
[広告スペース]